近日,物理评论B在线刊发了于涛教授“量子磁性与自旋物理”课题组题为“Transverse and unidirectional spin pumping”的研究论文。课题组李萍、蔡成渊为论文的共同第一作者,于涛教授为论文的通讯作者,华中科技大学为论文的第一单位。
在自旋电子学领域,高效产生和操控自旋流是实现磁化翻转、信息传输等应用的核心。传统的自旋泵浦机制源于磁化动力学,其泵浦的自旋流垂直于铁磁体与导体之间的界面,被称为纵向自旋泵浦。然而,这种机制在效率和调控灵活性上存在局限。于涛教授课题组独辟蹊径,提出并理论证明了一种全新的横向与单向自旋泵浦机制。如图1所示,该机制利用磁纳米结构中的磁化动力学(或聚焦激光束)所激发的近场电磁辐射,通过电场与磁场的协同作用,在导体中泵浦出平行于界面的自旋流,即实现了霍尔型/横向自旋泵浦。

图1: 横向自旋泵浦。
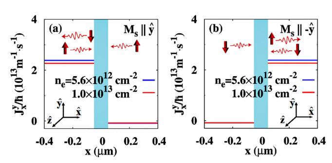
理论分析表明,与仅由磁场驱动的纵向自旋泵浦相比,电场与磁场的联合作用能将泵浦效率提升数个数量级,如图2(a),(b)为横向自旋泵浦效率。更重要的是,这种横向自旋流具有显著的单向性,如图2(b), 其空间分布可由磁化方向直接调控,翻转磁化即可反转自旋流方向。该横向自旋流的产生机制不依赖于光子角动量的注入。电磁场的手性反映在自旋流的空间分布中,如图2(c),(d)。与此同时,研究还发现电磁辐射中的磁场分量的同样会驱动具有单向性的纵向自旋流与电流,且同样被磁化方向“锁定”,如图3。这种由非互易光子发射与吸收所导致的单向输运特性,为自旋与电荷的协同操控提供了新可能。

图2: (a)磁化动力学泵浦近的横向自旋流。(b)翻转磁化方向后的横向自旋流。(c),(d)横向自旋电流的非对称空间自旋纹理,反映电磁场手性对自旋分布的影响。
该机制即使在自旋轨道耦合较弱时仍能高效工作。计算表明,在1 kV/cm电场下,泵浦的横向自旋流对应的自旋电导率甚至超过了MoS₂中由自旋霍尔效应预测的数值,显示出极高的应用潜力。

图3. (a)磁化动力学泵浦近的纵向自旋流。(b)翻转磁化方向后的纵向自旋流分布。
这项研究揭示了利用电磁辐射产生和操控自旋流的全新物理途径,其高效率、可调控及单向性的特点,为未来低维自旋电子学与轨道电子学器件中自旋流的生成与操控提供了一种鲁棒且高效的方案,有望推动新型自旋信息处理器件的发展。
论文链接:Transverse and unidirectional spin pumping | Phys. Rev. B